Официальный Татарстан
Раис РТ
Государственный Совет РТ
Правительство РТ
Госуслуги
Города и районы РТ
рус
тат
eng
Заинский муниципальный район
рус
тат
eng
Задать вопрос
О районе
81-ая годовщина Великой Победы
Сведения о местах нахождения Исполнительного комитета Заинского муниципального района и муниципального образования "г.Заинск", иных управлений и органов местного самоуправления, в том числе в сфере образования, труда, социальной защиты, спорта, культуры и
Глава Заинского муниципального района
История Заинского района в архивных документах
ПОЧЕТНЫЕ ГРАЖДАНЕ ЗАИНСКОГО МУНИЦИПАЛЬНОГО РАЙОНА
Бренд Заинского муниципального района
Описание района
Национальные проекты в Заинском районе
Перечень мероприятий, проводимых Заинским Краеведческим музеем
Органы управления
Общественные помощники в Заинском муниципальном районе
Сельские поселения
Муниципальные образования в составе района
Геральдика района
Карта района
Именитые люди района
Признание заслуг
Депутатcкий корпус
Инвестиционный паспорт района
Муниципальное образование город Заинск
Жизнь района
Обратная связь
Это актуально!
Информация об актах реагирования, поступающих от правоохранительных и контрольно-надзорных органов
Службы города и района
Ситуационный центр Заинского муниципального района Республики Татарстан
Инициативное бюджетирование
Профсоюзная жизнь
Цифровая трансформация
Реестр муниципальных маршрутов
Программы, проекты, конкурсы
«Общественные пространства»
Реестры муниципальных нормативных правовых актов
Государственные информационные системы
Независимая оценка качества оказания услуг
Муниципальный заказ
Муниципальный контроль
Экономика. Инвестиции. Малый бизнес
Защита прав потребителей
Бюджет
Кадровая политика
Противодействие коррупции
Тематические разделы
Советы, комиссии
«Стратегия социально-экономического развития Заинского муниципального района Республики Татарстан на 2016-2021 годы и плановый период до 2030 года» утвержденная Решением Совета района от 26.08.2016 г. № 108
ДОКУМЕНТЫ
Конституция
Статусные документы
Постановления Главы города и района
Документы, регламентирующие деятельность Заинского муниципального района
Документы, регламентирующие деятельность города Заинска Заинского муниципального района
Постановления Руководителя исполнительного комитета города и района
Распоряжения
Документы, определяющие политику в отношении обработки персональных данных
Порядок разработки, реализации и оценки эффективности муниципальных программ
Градостроительство
Оценка Регулирующего Воздействия (ОРВ)
Выявление правообладателей ранее учтенных объектов недвижимости
Проекты документов лесоразведения
Публичные слушания и общественные обсуждения Заинского муниципального района
Пресс-служба
Афиша
Лента новостей
Публичные слушания
Фотогалерея
Официальная информация
Пресс-релизы
Фоторепортажи
Официальные выступления главы
Блог Главы Заинского муниципального района
СМИ района
Видеогалерея
Информационно-просветительская работа с налогоплательщиками
Итоги социально-экономического развития Заинского муниципального района в 2022 году и задачи на 2023 год
Планы мероприятий
Обращения и прием граждан
Общероссийский день приема граждан
Нормативно-правовая база
ПОРЯДОК И ВРЕМЯ ПРИЕМА ГРАЖДАН
Интернет-приемная
Обзор обращений граждан
Часто задаваемые вопросы
Образцы заявлений
Государственные и муниципальные услуги
Административные регламенты предоставления государственных и муниципальных услуг
Административные регламенты сельских поселений
Перечень государственных и муниципальных услуг Заинского муниципального района
Филиал ГБУ МФЦ Заинского района
Технологические схемы муниципальных и государственных услуг
Популяризация
Госуслуги: всё проще простого!
Портал государственных и муниципальных услуг
Инструкция по регистрации на портале Государственных и муниципальных услуг Республики Татарстан
Муниципальная информационная система «Реестр муниципальных услуг»
Услуги в сфере строительства, связи, транспорта и дорожного хозяйства
Mуниципальные районы
Заинский муниципальный район
ДОКУМЕНТЫ
Градостроительство
Публичные слушания по градостроительной деятельности
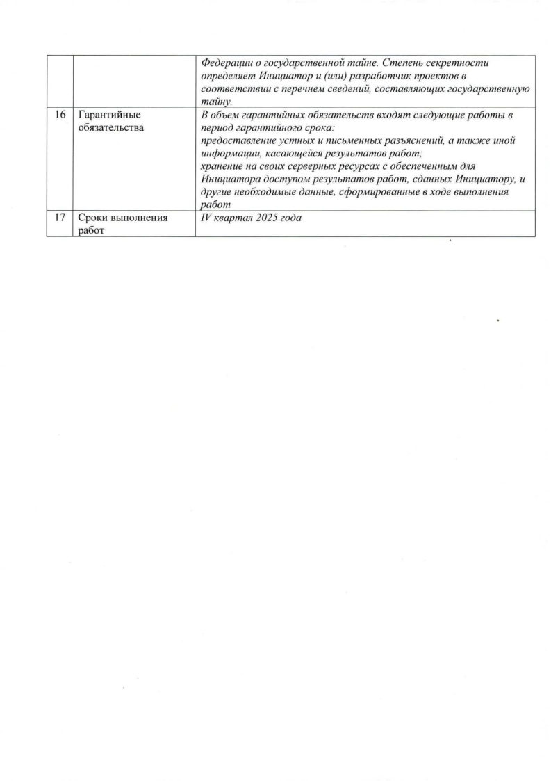
Приказ Министерства строительства, архитектуры и жилищно-коммунального хозяйства Республики Татарстан «О подготовке проекта межевания территории по объекту «Строительство, реконструкция, эксплуатация линейных объектов на Аксаринском месторождении»
pdf
Скачать текст
PDF, 2.22 Мб
Все материалы сайта доступны по лицензии:
Creative Commons Attribution 4.0 International
Обнаружили ошибку?
Выделите слово или предложение и нажмите CTRL+ENTER